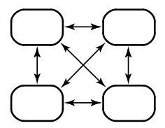
Many-to-many synchronization
In the many-to-many synchronization pattern, each replica exchanges packets with all other replicas.

Advantages:
- For companies with few sites, this pattern keeps each replica’s epoch table the most accurate for all siblings.
- If one site is unavailable, the other sites do not have to change their patterns to continue synchronizing.
Disadvantages:
- Each administrator must maintain more synchronization jobs and spend more time keeping, creating, tracking, and importing packets.
- Fully synchronizing the family requires n*(n-1) packets and connections, where n represents the number of replicas in the family. For example, if there are four siblings displayed in Figure 1, a total of 12 connections are required for synchronization. Similarly, a family of five siblings would require 20 packets and connections, while a family of six siblings would require 30 packets and connections, and so on. Transferring all these packets around can be inefficient and expensive.