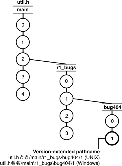
About the version-extended path
DevOps Code ClearCase® commands and documentation use a special notation to specify a version of an element on a branch. For example:

The path util.h@@/main/2 (Linux and UNIX®) or
util.h@@\main\2 (Windows®) specifies version 2 of util.h on the
main branch.
The path util.h@@/main/r1_bugs/bug404/1 (Linux and UNIX®) or
util.h@@\main\r1_bugs\bug404\1 (Windows®) specifies version 1
of util.h on the bug404 subbranch below the
r1_bugs subbranch, which is below the main branch.
From a command-line interface, you can use version-extended path names to access versions other than the ones currently selected by your view.
For a full description of the syntax for version-extended path names, see the pathnames_ccase reference page.